تسجيل الدخول
×
إنشاء حساب
×
رمز التأكيد
×
سيتم إرسال رمز التأكيد في أقرب وقت
الرئيسية
الملفات
حصص اونلاين
إمتحانات الكترونية
الأسئلة
مواضيع تربوية وتعليمية
إقتباسات
تواصل معنا
تسجيل الدخول
تفاصيل السؤال
أعظم متعة في الحياة هو فعل
ما يقول الناس أنه لا يمكنك فعله.
الرئيسية
الأسئلة
تفاصيل السؤال
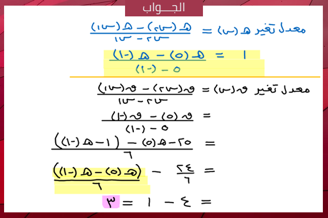
سؤال المريخ رقم 9
2021-02-16 15:03:31
عرض الجواب
عرض السؤال
2022-11-20 12:00:20
سؤال لِـعبتي 4
2022-11-20 11:59:08
سؤال لِـعبتي 3
جميع الحقوق محفوظة تعليم اونلاين © 2026 تصميم
MQUNDOS